| № | Наименование | Время | Стоимость | |
|---|---|---|---|---|
| 1 |
Репетитор по математике, |
2 часа | от 2000 руб. |

Вам требуется репетитор по математике ? Знакомьтесь, Александр Анатольевич , кандидат физ.-мат. наук, докторант, имеющий педагогический стаж более 17 лет (Московский энергетический институт, технический университет), подготовит к единому государственному экзамену школьников. Опыт репетитора по математике более 17 лет. Имеет лучшие показатели по качеству подготовки. Более 120 учащихся поступили в ВУЗы, университеты и институты Москвы: ВШЭ, МЭИ, МВТУ им. Баумана, МАИ, МАДИ, Финансовый Университет при Правительстве Москвы, МИРЭА, НАХ им.Плеханова, МГУ, и многие другие. Со студентами провожу занятия по высшей математике, математическому анализу, теории вероятности и математической статистике, линейной алгебре. Индивидуальные занятия в Москве в офисе на м.Китай-город.
Подготовку к ЕГЭ школьников по математике, физике и информатике,
занятия со студентами по высшей математике, физике.
Репетитор по математике ЕГЭ профильный уровень. Советы при подготовке к экзамену.
Демоверсия ЕГЭ 2021 по математике. Профильный уровень.
Демоверсия ЕГЭ 2021 по физике.
Демоверсия ЕГЭ 2021 по информатике
Подготовка к олимпиаде по информатике в МГТУ "Шаг в будущее"
Подготовка к олимпиаде математике физике. Шаг в будущее. МВТУ.
Подготовка к олимпиаде Ломоносов по математике
Решение олимпиады по физике Ломоносов (1 тур) предлагает олимпиадный репетитор по математике и физике
Решение олимпиады по физике Ломоносов (2 тур) предлагает олимпиадный репетитор по математике и физике
Вот основные темы по высшей математике: пределы, последовательности, производные, интегрирование, дифференцирование, линейная алгебра, аналитическая геометрия, теория вероятности.
Решение задач по высшей математике:
Интегралы
Подготовка по физике для студентов университетов
Проверка математической подготовки учащихся, правила арифметических вычислений, таблица значений функции 2n для первых десяти значений её аргумента, двоичные логарифмы, нахождение остатка при делении целых чисел, построение углов в 30, 60, 120 градусов, помощь в контрольных работах, анализ арифметических, логических и других ошибок учащихся при сдаче ЕГЭ по информатике или требуется репетитор по математике.
Информация и её кодирование, единицы измерения и методы измерения количества информации, алфавитный и комбинаторный подходы к количественной оценке информации, представление числовой информации, позиционная система счисления, основание системы счисления, перевод числа из двоичной системы в десятичную и обратно, дописывание степеней до конца, метод подстановки ответов, арифметические операции в двоичной и десятичной позиционных системах, представление двоичного числа в виде восьмеричного, кодирование букв двух-разрядными последовательными числами.
Алгоритмизация и программирование, латиницы, алгоритмы, их виды и описание; система команд исполнителя алгоритма, запись каждой команды и значение её параметров (при их наличии), смысл результата выполнения каждой команды.
Основные алгоритмические конструкции – следование, ветвление, цикл; графические способы представления алгоритмов, блок-схемы, линейная последовательность группы шагов алгоритма, полная и сокращённая формы записи ветвления, тело цикла и итерации, виды и типы условий цикла, вложенная алгоритмическая конструкция, знаки “не равно” и “присваивание значения”; исполнение фрагментов программ, эквивалентные тексты программ на трёх, наиболее знакомых учащимся языках (например, Бейсик, Паскаль, алгоритмический) и требуется репетитор по математике.
В настоящее время головной болью родителей выпускников и, собственно, самих учащихся 11 классов средних школ являются подготовка и успешная сдача ЕГЭ по математике, физике и информатике, поступление в ВУЗ и успешное обучение в нём. Исключительно целенаправленные курсы ЕГЭ по математике и физике в нашем предложении.
Во-первых, до первых репетиций ЕГЭ- остаётся очень мало времени – не за горами и сами ЕГЭ (июнь будущего года).
Во-вторых, ЕГЭ – практически, абсолютно новая, прогрессивная и революционная для России форма контроля знаний выпускников средних школ и абитуриентов, которая, как всё новое, отпугивает учеников, страшит их родителей, вдохновляет, делает более интересной и эффективной работу учителей и педагогов, хотя и усложняет её.

В-третьих, в государственной средней школе, практически не обучают самостоятельной работе учащегося с имеющейся в продаже и библиотеках учебной и учебно-методической литературой по математике, физике и информатике: на это в классе у учителей средних школ просто не остаётся учебного времени ввиду перегруженности текущей учебной работой.
В-четвёртых, сами учебники и учебно-методических пособия по математике, физике, информатике, требуют от реальных учащихся напряжённой самостоятельной работы.
Алгоритмизация и программирование, алгоритм Евклида нахождения НОД двух чисел и его блок-схема; работа с массивами, двумерный массив, адрес элемента массива, цикл с предусловием, цикл FOR, вложенный оператор цикла, запись программы обработки массива или алгоритма на естественном языке и элементарные алгоритмы – поиск минимального элемента в массиве, поиск максимального элемента в массиве, поиск минимального элемента в массиве и его номера, поиск максимального элемента в массиве и его номера, вычисление суммы элементов числового массива, подсчёт числа элементов массива, удовлетворяющих заданному условию; тестирование алгоритма на небольших массивах исходных данных в ситуациях, когда элементы массива различны и не упорядочены, различны и упорядочены по возрастанию, различны и упорядочены по убыванию, равны между собой.
Основы алгебры логики, свойства логических операций и их использование при вычислении логических выражений, переместительный, распределительный и сочетательный законы логического сложения и умножения, закон непротиворечия, закон исключения третьего, закон двойного отрицания, таблицы истинности, формула для выражения импликации через отрицание и логическое сложение.
Моделирование и компьютерный эксперимент, преобразование табличной модели (таблицы) в эквивалентную сетевую модель, представленную в виде схемы.
Информационные и коммуникационные технологии, операционные системы, файловые системы, программы и приложения или документы, папки (директории, каталоги), многоуровневая древовидная структура вложенных папок, полное имя файла и папки; обработка графической информации, взаимосвязь информационного объёма растрового изображения, его пространственного и цветового разрешения, принципы кодирования цвета элементов растра; обработка информации в электронных таблицах, работа с формулами, признак формулы – это знак равенства = в её начале абсолютные и относительные ссылки, диаграммы и графики, интерпретация столбчатых и круговых диаграмм.
Базы данных, выполнение вручную заданного поискового запроса к предложенному фрагменту базы данных, формулирование запроса исходя из поставленной цели.
Телекоммуникационные технологии, адресация в сети Интернет, поиск информации в сети Интернет поисковый запрос и его формулировка, логические связки И и ИЛИ.
Технология программирования на одном из трех языков (Бейсик, Паскаль и Си), правила подбора тестовых данных – обязательно, если они есть, рассматривать нулевые, граничные и прочие “критические” значения исходных данных и тестовые данные должны включать такие комбинации исходных данных, чтобы обеспечивалось выполнение всех исполняемых операторов программы, в т.ч. ветвлений и циклов.
Общие сведения
Занятия два раза в неделю. Длительность каждого занятия 1,5 часа.
На каждом занятии репетитором проводится учёт времени, затраченного каждым учащимся на выбор правильного или иного варианта из известных 4-х ответов, предлагаемых тестами уровня А типовых контрольно-измерительных материалов (КИМ) от Федерального института педагогических измерений - официального разработчика КИМ для ЕГЭ по информатике.
9 индивидуальных типовых тестов уровня А1 – А20 (3 теста в 3-х различных вариантах каждый, с методическими указаниями репетитора ) для каждого домашнего задания (ДЗ) репетитор выдаёт в конце каждого занятия в печатном или рукописном виде каждому учащемуся.
Контроль работы учащихся на курсах и качества услуг, предоставляемых “Столичным репетитором” Заказчику, производится, соответственно, проверкой (вне занятий) силами репетитора ДЗ и отслеживанием хода одного-единственного графика “работы и качества”. У каждого учащегося этот график будет своим, индивидуальным. График объективно показывает, как от занятия к занятию изменяется количество времени, затрачиваемого каждым учащимся на правильный или неправильный ответ на каждый тест В-уровня стандартных КИМ ЕГЭ (и ЕГЭ предыдущих лет) по информатике.
График “работы и качества” строится от занятия к занятию в индивидуальном электронном паспорте каждого учащегося (координаты точек этого графика предварительно заносятся в реальном времени в курсовой журнал по результатам каждого индивидуального пятиминутного “мозгового штурма” учащимися на каждом занятии типовых тестов А1 – А20, проводимого репетитором пять раз на каждом групповом или индивидуальном занятии).
Через каждые две недели текущая версия индивидуального графика “работы и качества” из электронного паспорта сообщается в виде выписки-распечатки учащемуся и его родителям.
Регулярная и упорная работа (дома над ДЗ и вне дома – на курсовых занятиях “ИНФОРМАТИКА-I” по подготовке к ЕГЭ) приводит, как показывает практика проведения ЕГЭ, к тому, что индивидуальный график “работы и качества” учащегося обязательно становится к концу курсовых занятий монотонно убывающим с достижением результата “~ (3+ 1) мин.на правильный ответ” на любой тест из 20-ти типовых тестов А1 – А20 части I стандартных КИМ ЕГЭ по информатике.
При таком результате и в отсутствие условий типа “форс-мажор” во время прохождения учащимся ЕГЭ по информатике Ассоциация “Столичный репетитор” гарантирует успешную сдачу этого экзамена этим учащимся при любом варианте тестов уровня А части I КИМ ЕГЭ по информатике.
В результате прохождения курса “ИНФОРМАТИКА-I” учащийся сможет набрать от ~40 до ~60 очков из 100 возможных.
Учебные курсы по ПРОГРАММЕ “ИНФОРМАТИКА-II” для подготовки к успешной сдаче ЕГЭ с КИМ по информатике предназначены для тех выпускников средних школ и абитуриентов, кто хочет иметь положительный результат, выражаемый в количестве набранных очков от ~60 до ~90 и более (вплоть точно до100) при ответах на 8 вопросов В-уровня части 2 и решении 4-х задач С-уровня части 3 КИМ ЕГЭ. по информатике.
На каждом занятии:
Анализ и обсуждение готовых решений и ответов на тесты, содержащихся в опубликованных полных изданиях типовых вариантов реальных заданий ЕГЭ по информатике. Анализ ошибок, допущенных при выполнении ДЗ.
Разбор содержания (текста, числовых данных, графика, рисунка) и пояснение математического и информационно-технологического смысла двух различных тестов уровня А1 – А20 типовых контрольно-измерительных материалов (КИМ) ЕГЭ по информатике. Выбор нужного раздела заданного тематического блока и необходимой для ответа на тест математики, способа кодирования, системы счисления и записи информации в памяти компьютера в двоичном представлении, логической схемы, правила преобразования логического выражения, способа решения логического уравнения, алгоритмической конструкции, алгоритмического языка или языка программирования, способа анализа дерева игры, варианта построения таблицы истинности, файловой системы организации данных, порядка прогнозирования результатов поиска информации в Интернете, способа адресации в сетях, правила чтения данных, технологии программирования.
Объяснение типовых ошибок учащихся в понимании основных положений и законов математической логики, при решении логических уравнений, моделировании, адресации в сетях, в знании алгоритмов работы с массивами, использовании технологий обработки графической информации, баз данных и электронных таблиц, при формальном исполнении алгоритма, поиске и устранении неполадок в уже имеющейся программе, самостоятельном написании программы для решения типовой задачи.
Полный учёт всех явных и неявных (по умолчанию) условий и данных типовых тестов А1 – А20.
Повторение необходимых для ответа на тесты частей учебного материала по математике и информатике.
Стандартные методы и приёмы решения заданий типовых тестов А1 – А20.
Выбор правильного варианта из четырёх ответов, предложенных А-тестом.
Практический тренинг учащихся: cамостоятельный и при помощи репетитора правильный, обоснованный выбор ответа на вопрос теста:
трёхкратный сёрфинг (в течение ~3-х минут с интервалом ~25 минут) индивидуальный и коллективный по математическим, техническим, технологическим основам информатики и по волнующим учащихся вопросам к изучаемым на занятии тестам, т.е. экспресс-проверка репетитором насколько прочно и правильно учащиеся ПОМНЯТ наизусть и как глубоко ПОНИМАЮТ необходимые теоретические сведения и практические навыки в области информатики по курсу средней школы;
пятикратный “мозговой штурм”, повторяющийся, индивидуальный и коллективный различных типовых вариантов тестов А1 – А20 КИМ ЕГЭ по информатике.
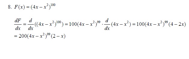
Производная от сложной функции F(x)=(4x-x^2)^100. Мат анализ.Решение задач.

Запись на первое занятие с репетитором по математическому анализу
а) Докажите, что прямые AD и BC параллельны.
б) Найдите площадь треугольника AKB, если известно, что радиусы окружностей равны 4 и 1.
§9. Коэффициент корреляции.
Уравнения прямых регрессий (8.2) и(8.3)характеризуют прямые,которые пересекаются под малым утлом /см.рис.9.1 /
V*-* V=c ;c=v|
Рис.9.1
Этот малый угол характеризует тесноту линейной корреляционной связи случайных величин, поэтому за меру этой тесноты принимается коэффициенгкорреляции:
«.•4S-F • г -+ 1*1. > хз * - cvЗамечание. Если мы имеем дело с функциональной зависимостью например у =
2х+1, то обратная функция х=0,5у-1 и их графики совпадают /рис.9.2 /.
Следовательно:
Если при возрастании х значения у убывают,, то коэффициен корреляции меньше нуля. В этом случае корреляционные прямые имеют вид
В обшем случае коэффициент корреляции меняется в пределах о «г При этом, сявзь между пёременннми тем теснее, чем ближе
коэффициент корреляции к I.
Пример. По заданному распределению 200 предприятий по основным фондам х /в млн.руб./ и выпуска продукции у /в млн.руб./ был вычислен коэффициент корреляция / в предположении линейной связи между х к у / Z =0,81 и определены уравнения прямых регрессий:
«1,К*4-ЧО$ ; *, » 0,41 j ♦ Г,**
Требуется проанализировать силу связи между рассматриваемыми факторами и, используя соответствующие уравнения регрессии, оценить средние основные фонды предприятия, которые нужны для выпуска продукции на сущу 50 млн.руб.
Решение. Показателем силы связи при линейной корреляциионной* зависимости служит коэффициент коррелящш. Его значение г. =0,81 близко к I, поэтов зависимость между рассматриваемыми переменными значительна.
Эта зависимость прямая,т.к. коэффициен корреляции положителен.
Следовательно, с увеличением одного фактора СХ) другой(у') в среднем также увеличивается. Так как рассматриваемая связь значительна, то по уравнению регрессии х на у можно оценить средние основные фонды предприятия.нужные для выпуска продукции на сумму 50 млн.руб.
Х4я=54>) = 0,Y1 Тб+Го? *4r,SV
Таким образом, основные фонды в среднем должны составлять 25,6 млн.руб.
КАК ВЫБРАТЬ:
связаться с Александром Анатольевичем
с помощью WhatsApp (лучше) или Telegram
+7-926-859-12-55
Я мечтал собрать воедино мои основные интересы научной деятельности в области Квантовой физики и лазеров: Математику, Информатику, Физику и Обучение, когда еще обучался в аспирантуре, c самого начала своей карьеры.
Компетентный математик и физик для школьников и студентов, кандидат физико математических наук, доктор технических наук по специальности радиофизика. Образование: Физический факультет МГУ им.М.В.Ломоносова с отличием, Специальность -Физика. Преподавал в МЭИ, педагогический стаж более 16 лет. Является автором монографии на английском языке "Laser Opto-Electronic Oscillator", 2020, изд. Springer. Автор более 60 ти научных публикаций в зарубежных и отечественных научных журналах по темам Квантовая Электроника, Квантовая радиофизика, Лазеры, Наноэлектроника, Лазерный оптоэлектронный генератор и др.. Хорошо подготовит без посредников зачёту по математике и физике в 10 класс с помощью конфиденциальных методов по улучшению памяти.
Обучал основам Python, MathLab, Data Science и Machine Learning.
Более 320 учащихся поступили «на бюджет» в университеты и ВУЗы Москвы: МЭИ, ФИ, и МГУ и т.д.Опыт репетитора по высшей математике для абитуриентов более 20 лет.Занятия проводятся дистанционно по Skype и Zoom|и очно в Москве м. Китай-город]. Есть большой опыт подготовки к экзаменам по физике и математике по англоязычным программам университетов (SAT,GMAT). По методикам и учебникам университетов готовил к экзаменам по математике и физике студентов из Канады, Германии, Испании и Нидерланды. Говорю по английски, владею английским, преподаю на английском математику и физику..
Занятия ведутся Дистанционно по Skype и Zoom и и очно в Москве м. Китай-город
Ваше сообщение отправлено